Service Hotline
最近跟业界一位同仁讨论了矢量网络分析仪的误差模型及校准过程,简单整理了一下,分享给大家,欢迎一起讨论。
矢网的误差模型确实不太好理解,一般只有研发矢网或者专攻测试技术的人员才会深入探究。使用矢网测试之前,都是需要作系统误差校准的,目的就是将测试装置本身引入的误差项修正掉,得到DUT真实的S参数。
系统误差校准可分为单端口和双端口系统误差校准,前者主要用于测试单端口器件的反射系数及其衍生参数,后者主要测试双端口器件的全S参数及其衍生参数。
单端口系统误差校准包括OSM(open/short/match,有时称为OSL——open/short/load)和归一化校准。OSM校准属于全单端口校准,可以修正全面的单端口测试涉及的误差项,所以测试单端口器件时精度最高!反射归一化校准,速度很快,但是只使用Open或者Short单个校准件,只能求解反射跟踪一个误差项,所以精度有限。
图1为一个反射计的等效示意图,之所以可以测试反射系数,是因为包含一个定向元件——定向耦合器(低频矢网多数采用VSWR bridge),实现了入射波与反射波的分离。
图1. 反射计简要示意图
反射测试的基本过程:激励源Source提供信号a1,经耦合器后大部分经矢网端口输出至DUT;经DUT反射的信号经过耦合器的耦合路径到达测量接收机Meas. Receiver. 由于矢网端口也存在反射,假设反射系数为S,那么在矢网端口与DUT端口之间会存在多次反射,多次反射的量同样也会经过耦合路径进入Meas. Receiver. 此外,由于耦合器并不是理想的,所以其隔离度也是有限的,这导致激励信号a1的一部分会经过耦合器的隔离通道直接馈入Meas.Receiver。
也就是说,Meas. Receiver接收到的信号b3实际包含三部分:DUT直接反射的信号,测试参考面处的多次反射信号,以及经耦合器隔离通道直接泄露的信号。
在列举公式之前,再简单介绍一下图中的标识参数:耦合器本身有4个端口,但是考虑到该模型中只涉及耦合器的部分参数,所以此处将其等效为3端口器件,端口分别为port1、port2、和port3. S21是指耦合器的直通传输系数,S31是指泄露通道的传输系数,S32是指耦合通道的传输系数。
简便起见,可以先画出上图的信号流图,如下图所示:( ΓDUT 为DUT真实的反射系数)。
图2. 单端口测试时的信号流图
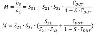
由信号流图可以直接得到b3 的表达式:
经化简得反射系数的测量值如下:
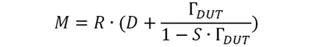
由上式可知,反射系数测量中包含四个误差项:S21,S32,S31,S。一般称(S21· S32) 为反射跟踪R(eflective tracking),称S31/(S21· S32) 为方向性,简写为D(irectivity),S则称为源端口反射系数。
经简化,单端口测试时实则共有R、D、S三个误差项。校准时,分别使用Open、Short和Match三个标准件,每个标准件得到一个方程,即可唯一地求解出三个误差项,然后再对测量结果修正。
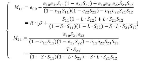
为了便于扩展至双端口测试的情况,引入了误差二端口网络,这是一个等效双端口网络,包含四个S参数ei,j ,与R、D、S的对应关系为:R=e01· e10,D= e00/R,S= e11.
矢网的每个端口均可以得到这样一个等效误差二端口网络。双端口测试时,涉及到的误差比单端口测试多不少,因此需要采用更加复杂的校准方式才能完成测试结果的修正。
图3. 等效的误差二端口网络
最经典的双端口系统误差校准为TOSM(Through,Open, Short, Match),有时也称为SOLT(L, Load)。TOSM校准适用于12项误差模型,最终经过化简得到10项误差,而TOSM校准刚好可以提供10个方程,因此可以唯一确定误差项的解。
下面以双端口网络前向测试为例,观察可能存在的信号路径:共1~5五条可能的信号路径。其中信号路径5为端口或者测试夹具的串扰,简便起见,下面的公式中并不包含该项,即认为端口之间是理想隔离的。
由信号流图可知,测试前向传输系数S21 时,误差主要来自于测试装置本身的传输频响、测试参考面的多次反射等,映射到误差二端口网络则如图5所示,结合图4对应的信号流图,便可以推导出S21 测量值与误差项之间的表达式。
图4. 双端口网络:前向测试时存在的信号路径
图5. 前向和反向测试时的信号路径及对应的误差项
前向测试将会涉及到R、D、S、T(transmission tracking)、L(Load match)五项误差,S11 和S21 的测量值表达式如下:
反向测试将会涉及到R’、D’、S’、T’、L’ (Load match) 五项误差,S12 和S22 的测量值表达式如下:
作TOSM校准后,便可以求得这10项误差,然后代入上式便可以计算出真实的四个S参数。
本文转载自“ 微波射频网 ”,支持保护知识产权,转载请注明原出处及作者。如有侵权请联系我们删除。



