Service Hotline
射频接收前端包括LNA、Filter、Mixer等部件,从噪声因子级联的角度讲,希望接收链路第一级为高增益、低噪声系数放大器,以期望得到较低的系统噪声系数,提高接收灵敏度。除LNA外,接收链路还有一个关键的部件——镜频抑制滤波器,位于Mixer之前,用于滤除镜频噪声和镜频信号,以提高整个接收链路的SNR和抗镜频干扰能力。
下面将通过公式推导详细描述是否引入镜频抑制滤波器对系统噪底的影响。
1、有镜频抑制滤波器
图1给出了简化的射频前端接收链路,包括LNA、Filter和Mixer。假设镜频抑制滤波器是理想的,即插损为0dB,带外抑制为无穷大,可以完全抑制掉镜频噪声。假设室温为T0=290K,接收链路端接50 Ohm负载,GA和FA分别为LNA的增益和噪声因子,GM和FM分别为Mixer的增益和噪声因子。
图1. 简化的射频接收前端:有镜频抑制滤波器
接收前端输入噪声功率为Nin=kBT0,输出的总噪声功率为
(式1)
(式2)
从系统级联的角度,整个接收链路的噪声因子和总增益分别为
(式3)
因为当前室温为290K,所以此时总输出噪声功率为
(式4)
式2和式4是一致的,这是存在镜频抑制滤波器时,整个接收链路噪底的计算过程。
2、无镜频抑制滤波器
图2给出了不含镜频抑制滤波器时的简化射频接收前端,由于混频器的工作特性,此时接收链路工作时,不仅仅是期望工作频段的噪声会变频至中频,镜频频段的噪声也会变频至中频,这将导致系统输出的噪声功率相对于含有镜频抑制滤波器时翻倍。
图2. 简化的射频接收前端:无镜频抑制滤波器
假设Mixer在镜频频段的变频损耗为
,LNA在镜频频段的增益和噪声因子分别为
和
。此处只考虑最简单的情况,后面的公式推导和分析将依据于如下假设条件:
(式5)
整个接收链路的总输出噪声功率为
(式6)
式5带入上式得
(式7)
上式进一步化简可得
(式8)
从系统级联的角度,整个接收链路的噪声因子和总增益分别为
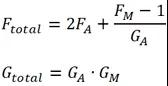
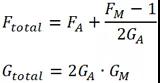
(式9)
值得一提的是,因为没有镜频抑制滤波器,所以对于Mixer而言,前一级LNA馈入的噪声功率是存在镜频抑制滤波器时的两倍,所以上式需要调整。可以等效为如下带有镜频抑制滤波器时的结构框图。
图3. 等效为带有镜频抑制滤波器时的结构框图
上图将LNA的噪声因子等效为2FA,增益不变;也可以将LNA的增益等效为2GA,噪声因子不变。为简便起见,仍然假设镜频抑制滤波器是理想的。
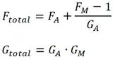
此时,整个接收链路的总噪声因子和增益分别为
(式10)
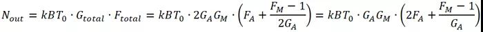
那么整个接收链路的输出噪声功率为
(式11)
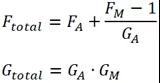
式11和式8是一致的。如果将LNA的增益等效为2GA,噪声因子不变,则整个接收链路的总噪声因子和增益分别为
(式12)
那么整个接收链路的输出噪声功率为
(式13)
式13和式8是一致的。这是不存在镜频抑制滤波器时,整个接收链路噪底的计算过程。
结论:对比是否存在镜频抑制滤波器两种情况下的噪底,由式4和式8可以看出,如果LNA的增益非常高,则无镜频抑制滤波器时的底噪接近于存在镜频抑制滤波器时底噪的2倍。对比式3和式10可以看出,当LNA的增益非常高时,无镜频抑制滤波器时的总噪声因子接近于存在镜频抑制滤波器时总噪声因子的2倍。
本文转载自“ 微波射频网 ”,支持保护知识产权,转载请注明原出处及作者。如有侵权请联系我们删除。



